D_TYPE
Navn
D_TYPEBeskrivende navn
D-familietypeGyldighed
Gyldig fra: 01-01-1980Gyldig til: 31-12-2007
Databrud
Inden for variabel: NejPå tværs af variable: Nej
Kvalitetssikring foretaget af
Danmarks Statistik: JaEksterne bedømmere udpeget af KOR: Ja
Generel beskrivelse
D-TYPE er en variabel, der knytter sig til familien, afgrænset som D-familie, og som vedrører den 1. januar. I D-familierne er der ingen aldersgrænse for hjemmeboende børn, der regnes med til familien. D_TYPE findes i perioden 1980-2007.Tilsvarende variabel for C-familier er C_TYPE og for E-familier E_TYPE. Variabelværdierne er dog forskellige.
Detaljeret beskrivelse
D-TYPE er en variabel, der knytter sig til familien defineret som D-familie, og som vedrører den 1. januar. D-TYPE angiver D-familietypen. Definitionerne i forbindelse med D-familie-klassifikationen er i alle detaljer de samme som for C-familie-klassifikationen på nær en enkelt undtagelse: Aldersgrænsen for hjemmeboende børn, der regnes med til familien, er for C-familier 18 år, mens der ingen aldersgrænse er for D-familierne. Ellers er betingelserne for at være hjemmeboende barn de samme, ligesom alle de andre klassifikationsregler er de samme. Værdisættet er magen til C-familiens. Se beskrivelse af C_TYPE.For D-familierne resulterer forskellen til C-familierne i flere hjemmeboende børn og færre enlige end for C-familierne.
Bilag
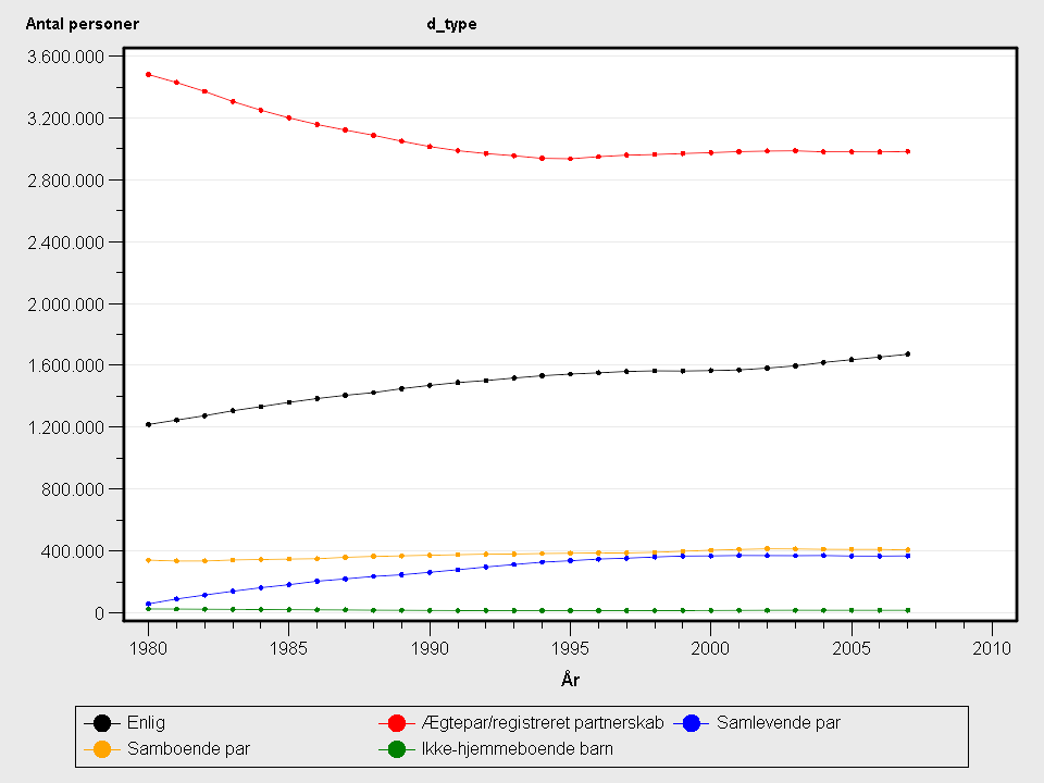
GrafTabel
Populationer:
Befolkningen 1. januar
Personer med fast bopæl i Danmark pr. 1. januar i året
Værdisæt
D101200.TXT_DTYPE - D-familietype| Kode | tekst | Fra dato | Til dato |
|---|---|---|---|
| 1 | Enlig. Der er ingen hjemmeboende børn, som er ugifte, ikke selv har hjemmeboende børn, og ikke er i samlevende par. | 01-01-1980 | 02-01-2007 |
| 11 | Ægtepar. Der er ingen hjemmeboende børn, som er ugifte, ikke selv har hjemmeboende børn, og ikke er i samlevende par. | 01-01-1980 | 02-01-2007 |
| 12 | Ægtepar. Der er hjemmeboende børn, som er ugifte, ikke selv har hjemmeboende børn, og ikke er i samlevende par. Der er ingen aldersgrænse for de hjemmeboende børn. | 01-01-1980 | 02-01-2007 |
| 2 | Enlig. Der er hjemmeboende børn, som er ugifte, ikke selv har hjemmeboende børn, og ikke er i samlevende par. Der er ingen aldersgrænse for de hjemmeboende børn. | 01-01-1980 | 02-01-2007 |
| 21 | Registreret partnerskab. Der er ingen hjemmeboende børn, som er ugifte, ikke selv har hjemmeboende børn, og ikke er i samlevende par. | 01-01-1980 | 02-01-2007 |
| 22 | Registreret partnerskab. Der er hjemmeboende børn, som er ugifte, ikke selv har hjemmeboende børn, og ikke er i samlevende par. Der er ingen aldersgrænse for de hjemmeboende børn. | 01-01-1980 | 02-01-2007 |
| 31 | Samlevende par. Der er ingen hjemmeboende børn, som er ugifte, ikke selv har hjemmeboende børn, og ikke er i samlevende par. | 01-01-1980 | 02-01-2007 |
| 32 | Samlevende par. Der er hjemmeboende børn, som er ugifte, ikke selv har hjemmeboende børn, og ikke er i samlevende par. Der er ingen aldersgrænse for de hjemmeboende børn. | 01-01-1980 | 02-01-2007 |
| 41 | Samboende par. Der er ingen hjemmeboende børn, som er ugifte, ikke selv har hjemmeboende børn, og ikke er i samlevende par. | 01-01-1980 | 02-01-2007 |
| 42 | Samboende par. Der er hjemmeboende børn, som er ugifte, ikke selv har hjemmeboende børn, og ikke er i samlevende par. Der er ingen aldersgrænse for de hjemmeboende børn | 01-01-1980 | 02-01-2007 |
| 53 | Ikke-hjemmeboende barn. som er under 18 år, ugift, og ikke har egne hjemmeboende børn. Er hverken samlevende eller samboende. | 01-01-1980 | 02-01-2007 |