C_TYPE
Navn
C_TYPEBeskrivende navn
C-familie typeGyldighed
Gyldig fra: 01-01-1980Gyldig til: 31-12-2007
Databrud
Inden for variabel: NejPå tværs af variable: Nej
Kvalitetssikring foretaget af
Danmarks Statistik: JaEksterne bedømmere udpeget af KOR: Ja
Generel beskrivelse
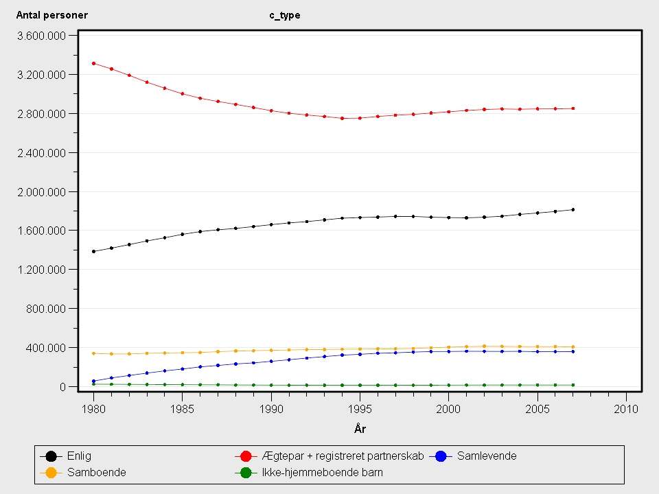
C_TYPE er det samme som C-familietype. Det en variabel, der knytter sig til familien og vedrører den 1. januar. C-familietype angiver om familien er en enlig person, eller om familien er en parfamilie, og i givet fald hvilken af fire partyper. I disse familietyper kan der være inkluderet hjemmeboende børn under 18 år. Et ikke-hjemmeboende barn under 18 år udgør sin egen familie og repræsenterer således en særlig C-familietype. C-familier findes i perioden 1980-2007.Tilsvarende variabel for D-familier er D_TYPE og for E-familier FAMILIE_TYPE. Variabelværdierne er dog forskellige.
Detaljeret beskrivelse
C-TYPE er en variabel, der knytter sig til familien og vedrører den 1. januar. C-TYPE angiver C-familietypen. det vil sige, om familietypen er en enlig med eller uden børn, et ægtepar med eller uden børn, et registreret partnerskab med eller uden børn, et samlevende par med eller uden børn, et samboende par med eller uden børn eller som den sidste C-familietype et ikke- hjemmeboende barn under 18 år.De to personer i et par skal have samme CPR-adresse for at udgøre en af de fire partyper, der opereres med: ægtepar, registreret partnerskab, samlevende par eller samboende par.
Børn, der regnes med til familien, benævnes hjemmeboende børn. Definitionen af hjemmeboende børn ses nedenfor.
Et ægtepar skal bestå af en mand og en kvinde, der er gift med hinanden, dvs at de begge har CIVST = G, og at de begge har ægtefællehenvisning til den anden.
Et registreret partnerskab skal bestå af to personer af samme køn. De har CIVST = P, og de har begge ægtefællehenvisning til den anden. Registrerede partnerskaber optræder for første gang i status for 1. januar 1990 (Lov om registrerede partnerskaber trådte i kraft den 1. oktober 1989).
Et par, der er skilt fra hinanden, men bor sammen., er ikke et ægtepar i C-familiesammenhænge. Tilsvarende gælder for personer med opløst partnerskab. Disse personer er enlige, samlevende par eller samboende par, alt efter relationerne til eventuelle øvrige personer i husstanden. I sjældne tilfælde findes der et ægtepar bestående af to personer af samme køn eller et registreret partnerskab bestående af en mand og en kvinde. Det skyldes kønsskifte har højst et par forekomster på et statustidspunkt.
Et samlevende par har som udgangspunkt fælles hjemmeboende børn (her uanset børnenes alder og civilsstand og børnenes eventuelle egne hjemmeboende børn). Hvis et par, der bor sammen, udgjorde et samlevende par et år før et statustidspunkt, regnes det fortsat for et samlevende par, selv hvis der ikke længere er fælles hjemmeboende børn (uanset børnenes alder og civilstand og børnenes eventuelle egne hjemmeboende børn) til stede i husstanden. Dette er dog ikke tilfældet, hvis de i mellemtiden er blevet til et ægtepar. Denne opsamling af samlevende par fra året før går tilbage til 1991. Hvis et samlevende forældrepar, der ikke længere har fælles hjemmeboende børn (her uanset børnenes alder og civilstand og børnenes eventuelle egne børn), på et enkelt statustidspunkt ikke har fælles adresse, går parret ud af gruppen af samlevende par og bliver til samboende, hvis de igen bor sammen, og de øvrige betingelser for at være samboende par er opfyldt (ellers bliver de enlige, eller et ægtepar, hvis de har gifter sig). Fra 1980 til 1990 skal der være fælles børn (her uanset børnenes alder og civilstand og børnenes eventuelle egne børn) til stede i husstanden på statustidspunktet, for at forældrene bliver regnet for et samlevende par.
Samlevende par udskilles fra ikke-gifte par ved hjælp af børnenes forældrehenvisninsnumre. Forældrehenvisningsnumrene skønnes at være for mangelfulde, især vedrørende faderen, for årene før 1990. Af denne grund skelnes der i al offentliggjort familiestatistik ikke mellem samboende og samlevende par for årene 1980-89. Grupperne samlevende par og samboende par er slået sammen for disse år og anføres under samboende par. Det anbefales ikke at anvende en gruppering, der skelner mellem samlevende og samboende par for årene 1980-1989.
Et samboende par skal opfylde følgende betingelser: (1) de er ikke et samlevende par, men har eventuelt særbørn boende hos sig, (2) parret er er af hvert sit køn, (3) deres aldersforskel er mindre end 15 år (regnet som forskel på fødselsår), (4) ingen forældrehenvisningsnumre i CPR tyder på nært familieskab, og (5) der bor ingen andre voksne personer på adressen. Personer på ned til 16 år kan være samboende, hvis de øvrige betingelser er opfyldt.
En voksen person (en person, der ikke er et barn), der ikke indgår i en af de fire partyper regnes for enlig og udgør sammen med hans/handes eventuelle hjemmeboende børn under 18 år familietypen "enlig".
Et barn er en person under 18 år, som aldrig har været gift (CIVST=U), som ikke selv har hjemmeboende børn, og som ikke er samboende. Personer ned til 16 år kan være samboende.
Et hjemmeboende barn har samme CPR-adresse som mindst én af sine forældre og regnes med til forældrenes familie. Forældre-barn-relationen er enten biologisk eller baseret på adoption. Der er ikke muligt at skelne mellem disse to typer.Som hjemmeboende barn regnes også et barn, der ikke bor hos nogen af forældrene, men hos en person, der er eller har været gift med en af forældrene. Dette er dog betinget af, at stedforælderen ikke har indgået nyt ægteskab, da sammenkoblingen i så fald ikke kan foretages mellem barn og stedfaderen eller stedmoderen. En C-familie kan kun bestå af højst to generationer, hvoraf den yngste udgøres af ét eller flere hjemmeboende børn.
Et ikke-hjemmeboende barn under 18 år, bor ikke sammen med nogen af sine forældre, er ugift (CIVST = U), har ikke hjemmeboende børn, og indgår ikke i et samlevende par eller et samboende par. Personer ned til 16 år kan indgå i et samboende par, hvis de øvrige betingelser er opfyldt.
Bilag
TabelGraf
Populationer:
Befolkningen 1. januar
Personer med fast bopæl i Danmark pr. 1. januar i året
Værdisæt
D101200.TXT_CTYPE - C-familie type| Kode | tekst | Fra dato | Til dato |
|---|---|---|---|
| 1 | Enlig uden hjemmeboende børn | ||
| 11 | Ægtepar uden hjemmeboende børn | ||
| 12 | Ægtepar med hjemmeboende børn | ||
| 2 | Enlig med hjemmeboende børn | ||
| 21 | Registreret partnerskab uden hjemmeboende børn | ||
| 22 | Registreret partnerskab med hjemmeboende børn | ||
| 31 | Samlevende par uden hjemmeboende børn | ||
| 32 | Samlevende par med hjemmeboende børn | ||
| 41 | Samboende par uden hjemmeboende børn | ||
| 42 | Samlboende par med hjemmeboende børn | ||
| 53 | Ikke-hjemmeboende barn |